一、基于FAI液体计量喷射技术的尿素液计量喷射系统
FAI液体喷射原理及计量理论
FAI液体喷射计量系统建立在一个自主开发的世界的FAI液体喷射计量技术之上。
电磁线圈驱动的套筒/柱塞泵,以脉冲方式驱动套筒或者柱塞相对运动,压缩容液体喷射计量积内的液体并输送到压力喷射喷嘴。 设计单次工作输送容积固定,控制系统输出不同的脉冲宽度在输送容积以内来调节单次输送液体容积(调幅控制)。控制系统也控制两个工作脉冲之间的间隔时间,调整间隔时间也可以调整平均输出泵液流量(调频控制)。通过调频调幅控制,可以获得很大动态范围的平均流量调节。通过与发动机相位同步控制,可以实现准确同步相位喷射。
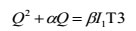
单次脉冲液体流量Q与一个可测量的套筒柱塞执行结束后的物理变量T3存在以下关系:

物理变量T3与系统电压、液体特性、工作温度等现场状态弱相关,因此通过T3来预测单次脉冲液体流量Q,比直接用驱动脉冲宽度T1来预测的精度更高,稳定性更好。
实际控制中,通过T3来反馈修正驱动脉宽T1,可以实现流量的高精度闭环控制,从而形成FAI闭环泵端控制理论和方法。当M为单位时间液体平均泵出流量,F为工作脉冲频率时:
M=Q•F
恒和气助SCR尿素液喷射计量系统
基于FAI的尿素计量泵,尺寸很小,又耐腐蚀,因此被置于尿素传感器模块的底部,从尿素箱上部插入尿素箱,成为独特的尿素箱内置式尿素泵。尿素箱的解冻自然就使尿素泵解冻了。
恒和气助SCR尿素液喷射计量系统,将压缩空气/尿素混合室设置在尿素泵仅上部,处于尿素箱内部,尿素喷嘴为旋流式两相流雾化喷嘴,压缩空气不仅辅助尿素液精细雾化,而且可以在喷射结束后对所有尿素管进行彻底的吹扫,不需要外部加热器来防止尿素管内尿素液的结冰或结晶堵塞。

恒和非气助SCR尿素液喷射计量系统
基于FAI的尿素供给泵和计量喷嘴构成了恒和非气助SCR尿素液喷射计量系统。置于尿素传感器模块底部的是供给泵,模块从尿素箱上部插入尿素箱。尿素箱的解冻自然就使尿素供给泵解冻了。由DCU控制的计量喷嘴为FAI电磁驱动计量的脉冲加压外开式喷嘴,喷射压力大于1MPa,伞形喷雾实现纯液体较好的雾化性能。供给泵提供的尿素液在尿素箱和计量喷嘴之间循环,在保障计量喷嘴中充满尿素液的同时,实现对计量喷嘴的有效冷却。
特殊设计的引射真空泵,将在发动机停机后对尿素管路中的尿素液进行回抽,防止尿素结冰损坏系统,防止管内尿素结晶堵塞管路。
二、催化转换器
恒和后处理系统的催化器,根据发动机特性和目标要求,有两种基本构成:SCR(+ASC),(适用于较大排量发动机)和DOC+SCR(适用于较小排量发动机)。

无论哪种构成,在封装时,可以把DEF(尿素液)混合管与催化器(DOC/SCR/ASC)分体封装,也可以整体封装。分体封装的系统,在车上搭载时需要通过连接法兰等连接起来。
三、后处理系统及其控制
恒和国V柴油机后处理系统,对柴油机的燃油控制系统要求很低,只需要发动机控制模块ECM通过CAN总线发送发动机转速和扭矩(百分比)或者燃油喷射量就能够正常工作,采用SAE J1939或ISO 15031或ISO 1675标准与外界通信。DCU可以根据ECM的软件协议选择相应的模式实现通信,包括OBD。
DCU自主采集液位信号、尿素液温度、排气温度、NOx浓度等,根据自主开发的逻辑算法和标定数据自主确定尿素液喷射量,并控制尿素计量喷射系统按照要求喷射尿素液、完成OBD诊断、进行喷射前预处理(供给填充)及喷射结束后的清扫(回抽)。
上述SCR系统同样适用于大排量的欧六/国六车用柴油机的NOx控制,只需要更多的传感器输入和稍微扩展的尿素液控制算法。
DCU还可以被动模式工作,这是DCU仅仅作为一个尿素计量控制器,在接到来自于CAN线的尿素液需求命令时启动计量喷射系统计量喷射。这个模式适用于较小排量的欧六/国六车用柴油机系统,这时的尿素液需求命令来自于ECM。
|